I recently read a very interesting article on FiveThirtyEight.com regarding men’s and women’s tennis that reminded me of the following standard problem in probability.
Player X and Player Y play a series of at most
games, and a winner is declared when either Player X or Player Y wins at least
games. Suppose that the chance that Player X wins is
, and suppose that the outcomes of the games are independent. Find the probability that Player Y wins if (a)
, (b)
.
The easiest way to solve this is to assume that all games are played, even if that doesn’t actually happen in real life. Then, for part (a), we can use the binomial distribution to find
Adding the first two probabilities, the chance that Player Y wins is .
Similarly, for part (b),
Adding the first three probabilities, the chance that Player Y wins is .
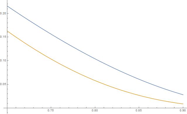
The graphs of and
on the interval
are shown below in blue and orange, respectively. The lesson is clear: if
, then clearly the chance that Player Y wins is less than 50%. However, Player Y’s chances of upsetting Player X are greater if they play a best 2-out-of-3 series instead of a best 3-out-of-5 series.
Remarkably, this above curve has been observed in real-life sports: namely, women’s tennis (which plays best 2 sets out of 3 — marked WTA below) and men’s tennis (which plays best 3 sets out of 5 in Grand Slams — marked ATP below). The chart indicates that when two men’s players ranked 20 places apart play each other in Grand Slams, an upset occurs about 13% of the time. However, the upset percentage is only 5% in women’s tennis. (This approximately matches the above curve near .)

However, in tennis tournaments that are not Grand Slams, men’s tennis players also play a matches with a maximum of 3 sets. In those tournaments, the chances of an upset are approximately equal in both men’s tennis and women’s tennis.

However, since the casual tennis fan (like me) only tunes into the Grand Slams but not other tennis matches, this fact is not widely known — which gives the misleading impression that top women’s tennis players are not as tough, skilled, etc. as men’s tennis players.
The FiveThirtyEight article argues that top women’s tennis players don’t make it to the latter stages of Grand Slam tournaments than top men’s players because of the two tournaments are held under these different rules, and that women’s tennis would be better served if their matches were also played in a best-3-out-of-5 format.